为达到建筑钢筋制做的必须,在建筑钢筋制梁地区设定1台10t蜜桃视频在线观看视频。蜜桃视频在线观看视频跨距14m,层高9m。蜜桃视频在线观看视频配置10t电葫芦一台。
依据起吊机路轨承载力规定和建筑钢筋场所地质环境标准,10t蜜桃视频在线观看视频路轨底材需压实,并选用混凝土结构条型
基本做为蜜桃视频在线观看视频的过道。走道基本选用钢筋混凝土士条型构造。横截面规格采用宽0.4m,高0.3m。
基本构造承受力测算及箍筋
1.*不好工作状况:蜜桃视频在线观看视频轴力吊装建筑钢筋
载荷:建筑钢筋12.5t,蜜桃视频在线观看视频自身重量10t
集中化载荷=125KN
100
均布荷载==7.1KN

支撑点轴力功效在4个车轮子以上,轮压=P=43.75KN,
吊装或刹车操作过程中形成的动载:v取0.12m/s,冻灾指数φ=1+0.7v=1.084
R=43.75X1.084=47.4KN,取48KN
假定载荷功效范畴为L=3m,均布荷载为q

3q=48jA2,q=32KN/m
2.基本内应力检算
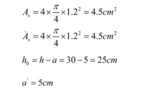
保护层厚度50mm,基本混凝土士选用C20砼,基本纵向钢筋顶层、下一层选用φ12建筑钢筋。
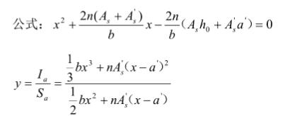
两面筋计算方法:

I。一受力区转换横截面对中性化轴的抗弯刚度;
S。一受力区转换横截面对中性化轴的面积矩;
A,一受拉区建筑钢筋的截面;
A,-受力区建筑钢筋的截面:
a=5cm-受拉建筑钢筋重心点*受拉混泥土边沿的间距:
ai=5cm-受力建筑钢筋重心点*受力混泥土边沿的间距:
h=h-a=30-5=25cm-横截面合理相对高度;
x一混泥土受力区相对高度;
y-受力区协力到中性化轴的间距;
b-基本的总宽;
n-建筑钢筋的弹性模具与混泥土的变形模量之比;

[σ,]=7.0MPa(砼级别为C20)[σm2]=0.73MPa,[σ,]=200MPa,n=10.
以上公式计算的参数均出于<<道路混凝土结构及预制混凝土排水工程设计标准>>
(JTGD62--2004)。
因此,由.上边测算可获得:

基本建筑钢筋布置:
下排布局φ12建筑钢筋,间隔5+3X10+5(cm)共4根

下排布局,φ12建筑钢筋,间隔5+3X10+5(cm)共4根

联系人:徐经理
手机:13782575673
电话:0373-8611375
邮箱:hnzyaqqz@126.com
官网:www.766cs.com
地址:河南长垣蜜桃视频APP下载工业园区华豫大道中段