您好,欢迎进入河南省中原蜜桃APP污实业有限公司官方网站!

与时俱进,诚赢客户

蜜桃视频在线观看视频、提梁机、门式蜜桃视频APP下载机生产厂家

服务电话:13782575673

蜜桃视频在线观看视频百科

您现在所在位置:首页>>蜜桃视频APP下载资讯>>蜜桃视频在线观看视频百科

双梁蜜桃视频在线观看视频双小车主梁设计

本文链接:http://www.766cs.com/gsxw/526.html   发布时间:2021-03-10 01:58:53  点击量:1513

  双梁蜜桃视频在线观看视频双小车由主小车和副小车组成,主、副小车可以单吊,也可以抬吊,双小车受力分析力学模型见图4-28。如果抬吊*大吊重载荷为主小车的*大蜜桃视频APP下载量,传统习惯是按单小车的主梁设计来计算,其实并不一样,因为双小车多出一个副小车的重量,按单小车的主梁设计有可能会偏小。如果主、副小车在抬吊时为主梁承受的*大载荷,且大于主小车的*大蜜桃视频APP下载量,小于或等于副小车蜜桃视频APP下载量的2倍,其主梁的计算可以根据双小车的工况受力分析计算。一般在同参数情况下,双小车与单小车的主梁截面谁大谁小没有明显的规律,只有当双小车的主、副小车吊距适当大的时候,双小车主梁截面才比单小车的主梁截面要小。

  双小车主梁需考虑两种工况的受力分析。**种工况:以跨中为界,主、副小车分别在跨中截面两边时的情形(图4-29),且主、副小车载荷和自重的合力作用在跨中位置;第二种工况为主小车的重心线在跨中,副小车在偏一边的情形(图4-30)。在设计计算欧式双小车主梁时,只需考虑工况(一)的受力状况,在截面跨中处的弯矩*大(参见白剑波,庄伟伟,“双小车在梁何位置时弯矩*大的探讨分析”,《机械工程师》2014,(07))。

  双梁蜜桃视频在线观看视频双小车载荷的三种工况

  (1)主、副小车的额定蜜桃视频APP下载量相等,抬吊蜜桃视频APP下载量为主、副小车之和;比如,主小车=100t,副小车=100t,抬吊蜜桃视频APP下载量为200t,主副小车均匀抬吊。
图4-29工况(一)受力分析图

图4-29工况(一)受力分析图

图-4-30工况(二)受力分析图
图-4-30工况(二)受力分析图

  (2)主小车比副小车吨位大,抬吊蜜桃视频APP下载量为主小车的*大蜜桃视频APP下载量;比如,主小车=100t,副小车=50t,抬吊蜜桃视频APP下载量为100t,主副小车可均匀抬吊,也可以按载荷分配抬吊。

  (3)主小车比副小车吨位大,抬吊蜜桃视频APP下载量比主、副小车蜜桃视频APP下载量之和小或相等(由用户指定);比如,主小车=160t,副小车=100t,抬吊蜜桃视频APP下载量为200t,主副小车可均匀抬吊,也可以按载荷分配抬吊。

  双小车的设计参数

  抬吊*大蜜桃视频APP下载量=(Q1≥Q2)(注),主小车的*大额定蜜桃视频APP下载量=Q1;主小车自重=G1x;副小车的*大额定蜜桃视频APP下载量=Q2;副小车自重=G2x;跨度=S;工作级别=A3~A6;起升动载系数Φ2;运行冲击系数Φ4;钢材的比重γ=78.5kN/m3。注:不是Q1、Q2的代数和,为用户指定对主、副小车抬吊的*大蜜桃视频APP下载量。

  R1=(Φ2ξ1+Φ4G1x)/2

  R2=(Φ2ξ2+Φ4G2x)/2

  式中 ξ1——主小车(R1)抬吊载荷的分配系数,主副小车均匀抬吊,ξ1=0.5;

  ξ2——副小车(R2)抬吊载荷的分配系数,主副小车均匀抬吊,ξ2=0.5。

  其中ξ1+ξ2=1,欧式双小车主梁的受力分析。

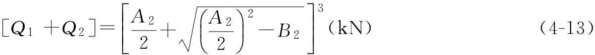
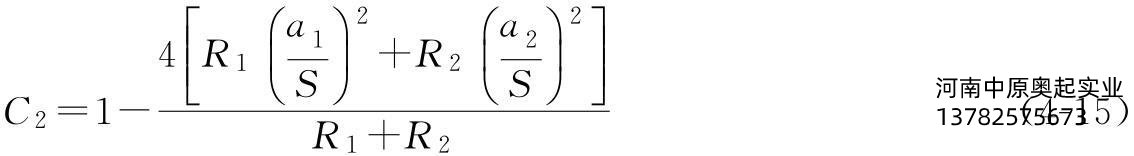
  双梁蜜桃视频在线观看视频双小车主梁蜜桃视频APP下载量判别式

  >[Q1+Q2],强度是控制条件,梁高h=h强,梁自重G=G强;

  <[Q1+Q2],刚度是控制条件,梁高h=h刚,梁自重G=G刚;

  =[Q1+Q2],强度和刚度都是控制条件,梁高h和梁自重G按上述之一计算即可。






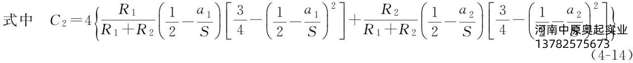
  对于工程产品设计,


  ,则C2简化成:


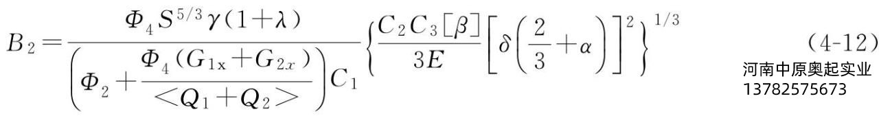
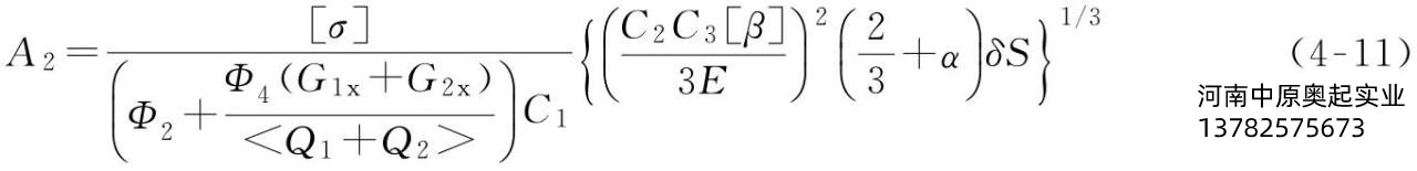
  强度为控制条件的梁高




  式中 C1&mdash;&mdash;计算弯矩的换算系数。

  刚度为控制条件的梁高

  主梁截面计算

  式中 AG&mdash;&mdash;上盖板的截面积;

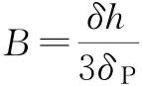
  B&mdash;&mdash;上下盖板的平均计算宽度;

  &delta;P&mdash;&mdash;上下盖板的平均厚度。

  经济梁高的盖板与腹板截面积之比&alpha;f一般取和之间的分数值,推荐对带走台的窄全偏轨梁和半偏轨梁近似取?,对不带走台的矮全偏轨梁近似取

  为了方便计算,若取,则

  即,得

  双梁蜜桃视频在线观看视频(双梁四轨)大车的主梁设计

  对大于300t的大吨位大欧式蜜桃视频APP下载机,按前面介绍的低净空中欧式思维设计,会遇到小车特别长、高度较大、总重较大的弊端,这些因素都与欧式轻量化概念相矛盾。笔者在实践中通过多年的研发和探索,研发出了一种新结构型式的大欧式蜜桃视频APP下载机&mdash;双梁四轨欧式蜜桃视频APP下载机。其大车运行部分和原低净空型式一样,依然采用&ldquo;三合一&rdquo;减速器传动,但每根主梁采用双轨主梁,小车采用双排车轮,很好地解决了大吨位中欧式蜜桃视频APP下载机结构型式的弊端。

  双梁蜜桃视频在线观看视频蜜桃视频APP下载机大车主梁采用双轨焊接箱型梁结构,一根轨道为全偏轨,另一根轨道为小偏轨(半偏轨)。主腹板上部可以考虑采用T型钢,也可以不使用T型钢。在主腹板的上方和侧上方安装2根方钢轨道,轨道和主梁上盖板推荐采用间断交错焊焊接固定。

  双梁蜜桃视频在线观看视频蜜桃视频APP下载机的主梁设计需考虑梁跨中截面的*大弯矩,双轨对大车主梁(双梁四轨)的扭转剪应力和对主梁腹板的挤压应力,跨中截面上验算点的强度等影响,笔者也有较深入的研究。

文章聚合页面:

联系蜜桃APP污

CONTACT US

联系人:徐经理

手机:13782575673

电话:0373-8611375

邮箱:hnzyaqqz@126.com

官网:www.766cs.com

地址:河南长垣蜜桃视频APP下载工业园区华豫大道中段

网站地图