您好,欢迎进入河南省中原蜜桃APP污实业有限公司官方网站!

与时俱进,诚赢客户

蜜桃视频在线观看视频、提梁机、门式蜜桃视频APP下载机生产厂家

服务电话:13782575673

蜜桃视频在线观看视频百科

您现在所在位置:首页>>蜜桃视频APP下载资讯>>蜜桃视频在线观看视频百科

蜜桃视频在线观看视频蜜桃视频APP下载机大车的主梁设计计算

本文链接:http://www.766cs.com/gsxw/534.html   发布时间:2021-03-15 02:42:52  点击量:1708

  ①设计计算主梁梁高

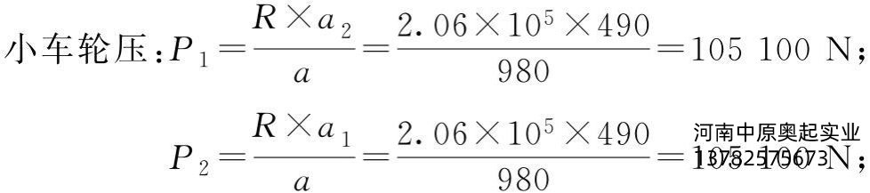
  运行冲击系数取φ4=1.16;起升冲击系数取φ2=1.14;额定蜜桃视频APP下载量Q=320000N;小车自重重量GXC=40000N(小车自重重量参照同类小车的自重,对没有参照的小车自重,可先估算,待设计完小车后,再回过头来验算主梁的设计计算);小车基距b=980mm;主梁跨度S=22500mm;

  截面腹板厚度之和:δ=16mm,δ1=8mm,δ2=8mm采用Q235材料;

  许用应力:[σ]=1.40×105kN/m2;弹性模量:E=2.1×108kN/m2;

  许用刚度:推荐初选设计主梁:β=700(A5级以下);

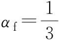
  腹板加强劲重量比腹板重量:α=1/3;

  走台栏杆轨道机械电气设备重量比主梁重量:λ=0.2;

  材料比重:γ=78.5kN/m3;

  C1为将小车轮压转化为跨中集中力时计算弯矩的换算系数,C1=1;

  C2为将小车轮压转化为跨中载荷计算挠度的换算系数

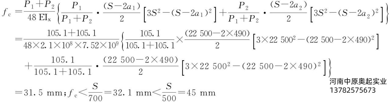
  [Q]>Q=320kN,刚度为控制条件。

  经济梁高:

  圆整取:hg=1150mm(作为主梁上下盖板之间的净高)

  ②初步确定主梁截面面积

  经济梁高上盖板与腹板截面积之比取:?

  上盖板的截面积尺寸:?

  上盖板的厚度:δ3=12mm

  下盖板的厚度:δ4=12mm

  上盖板的宽度:?

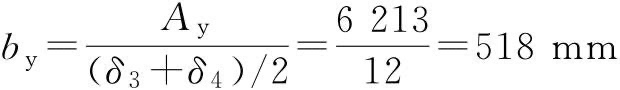
  圆整取:by=500mm,作为主梁腹板之间的净宽。

  ③确定承压梁的梁高

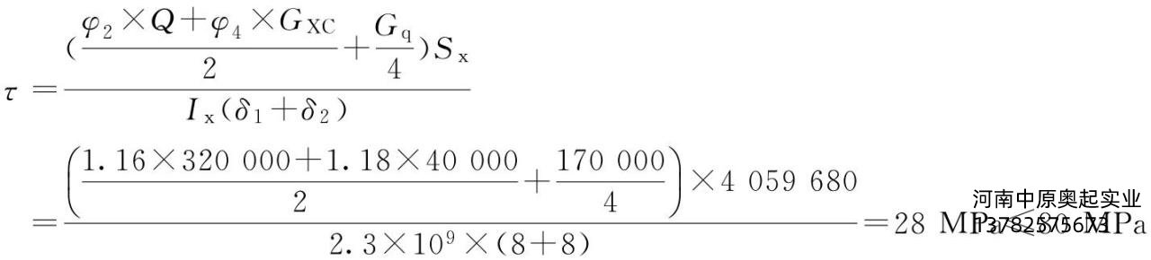
  根据前面计算和用户给定参数得:φ2=1.14;φ4=1.16;GXC=40000N;Gq=170000N;Q=320000N;δ1=δ2=8mm;δ3=12mm;δ4=20mm;B2=576mm;[τⅠ]=140/1.732=80MPa;Ix=2.3×109mm4。

  考虑制作的工艺性,承压梁梁高按经验公式取值。

  h1=(0.25~0.5)h;B1=(1.2~1.6)B2;取h1=300mm,B1=876mm

  则Sx=4059680mm3

  所选承压梁梁高和截面符合要求。

  ④主梁的筋板布置

  主梁采取半偏轨梁,对腹板120<1150/8=144&le;160,根据腹板的加劲原则,在梁全长内设置横向大加筋板和小三角筋板,并同时在受压区设置一道和第二道纵向加劲杆。**道高度设置在距腹板受压边缘(0.2~0.3)h0处,第二道设置在距腹板受压边缘(0.5~0.7)h0处;主梁大隔板间距(除两端尺寸外)a=2000mm,省去小隔板,采用小三角筋板。h0=1150,取**道高度为300mm,第二道高度在距腹板受压边缘800mm。

  对上盖板,508/12=42&le;50,根据盖板的加劲原则,上盖板不需布置纵向加劲杆。

  ⑤对主梁进行Ⅲ类载荷组合验算

  两腹板中心线间距:b1=508mm;

  主梁高度:h0=1150mm(净空);

  大车加减速:a=0.15m/s2;

  半个大车的结构重量:Gq=84000N(主梁+走台);

  主梁走台自重均布载荷:?

  均布载荷在跨中引起的*大弯矩:?

  作用于一根主梁上的载荷:

  在设计小车时,得a1=490mm,a2=490mm;

  主梁截面几何参数:Ix=7.52&times;109mm4;y1=629mm;y2=545mm;Iy=1.62&times;109mm4;x1=299mm;x2=277mm。

  a.主梁垂直静挠度

  垂直刚度满足设计要求。

  b.垂直平面内的应力计算

  ?集中力引起的跨中*大弯矩

  垂直平面内主梁跨中截面正应力

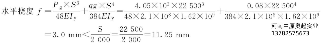
  c.水平平面内的应力计算(主梁惯性载荷产生的弯矩)

  ?均布惯性载荷

  均布惯性载荷跨中产生的*大弯矩:?

  小车对主梁的集中惯性载荷

  Pg=1.5(GXC+Q)&times;0.1&times;0.5&times;a=1.5&times;(4+32)&times;104&times;0.1&times;0.5&times;0.15=4.05&times;103(N)

  集中惯性载荷引起的跨中*大弯矩:

  水平平面内主梁跨中截面正应力:

  综合应力:&sigma;=1.15(&sigma;1+&sigma;2)=1.15(115.3+5.00)=138.34MPa&le;[&sigma;]=140MPa式中,1.15为考虑主梁跨中的约束扭转和约束弯曲的影响,强度满足设计要求。

  水平刚度满足设计要求。

文章聚合页面:

联系蜜桃APP污

CONTACT US

联系人:徐经理

手机:13782575673

电话:0373-8611375

邮箱:hnzyaqqz@126.com

官网:www.766cs.com

地址:河南长垣蜜桃视频APP下载工业园区华豫大道中段

网站地图