您好,欢迎进入河南省中原蜜桃APP污实业有限公司官方网站!

与时俱进,诚赢客户

蜜桃视频在线观看视频、提梁机、门式蜜桃视频APP下载机生产厂家

服务电话:13782575673

蜜桃视频在线观看视频百科

您现在所在位置:首页>>蜜桃视频APP下载资讯>>蜜桃视频在线观看视频百科

蜜桃视频在线观看视频大车运行机构设计计算

本文链接:http://www.766cs.com/gsxw/536.html   发布时间:2021-03-16 02:38:37  点击量:1691

  ①大车“三合一”减速器选型计算

  a.摩擦阻力计算

  b.坡道阻力的计算

  坡度角α:sinα=0.001

  坡道阻力:Fp=Q+G×sinα=(32+25)×104×0.001=570N

  c.运行静阻力的计算

  Fj=Fm+Fp=7866+570=8436N

  d.大车运行静功率计算

  PN=kd·Pj=1.1×2.24=2.46kW

  e.大车运行静阻力矩的计算

  大车运行静阻力矩:MP1=Fj×R=8436×125=1.06kN·m

  式中 R——大车车轮的半径(mm),R=D/2。

  大车满载直线运行产生的惯性力矩:加速度取0.1。

  MH=MP1+Mg1=1.06+0.91=1.97kN·m

  大车为对边驱动型式,使用两个减速器驱动,1个齿轮箱应承载MH/2=983.5N·m。

  Na=V/(πD)=30/(3.14×0.25)=38

  f.减速器选型

  选取某国外品牌“三合一”减速器:功率3kW(S1);fb=1.5;i=36.58;n=38;Ma=750N·m。

  Ma×fb=750×1.5=1125N·m>MH/2=983.5N·m

  所选“三合一”减速器符合要求。

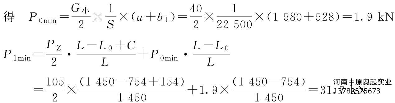
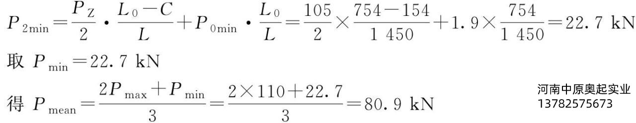
  ②大车轮压计算

  在小车设计时得相关数据如下,见图4-52。

  a=1580mm;b=980mm;b1=528mm;G小=40kN;L0=754mm;C=754-600=154mm;L=600+850=1450mm;PZ=(250-40)/2=105k

  P大1>P大2,主动轮布置在大车外侧,P大1=109.09kN即为大车的*大轮压,取Pmax=110kN。

  ③大车车轮设计计算

  参考同类欧式蜜桃视频APP下载机,初选大车车轮直径D=250mm。


  大车轨道选P38kg,车轮有效接触宽度l=68-4/3×13=50.7mm车轮材料选DG42CrMo取σb=1080N/mm2,许用轮压比k=8.5

  允许轮压PL=kDlC=8.5×250×50.7×0.97×1=104.5kN

  疲劳强度校核:Pmean=80.9kN≤PL=104.5kN满足要求。

  静强度校核:110kN=Pmax≤1.9kDl=1.9×8.5×250×50.7=204.7kN满足要求。

  车轮符合要求。

  ④大车缓冲器选型计算

  (推荐欧式大车缓冲器的计算速度取V,小车缓冲器的计算速度取0.5V)

  聚氨酯缓冲器:YK—JHQ—A—9,缓冲容量为2kJ,符合设计要求。

文章聚合页面: 蜜桃视频在线观看视频

联系蜜桃APP污

CONTACT US

联系人:徐经理

手机:13782575673

电话:0373-8611375

邮箱:hnzyaqqz@126.com

官网:www.766cs.com

地址:河南长垣蜜桃视频APP下载工业园区华豫大道中段

网站地图