您好,欢迎进入河南省中原蜜桃APP污实业有限公司官方网站!

与时俱进,诚赢客户

蜜桃视频在线观看视频、提梁机、门式蜜桃视频APP下载机生产厂家

服务电话:13782575673

蜜桃视频在线观看视频百科

您现在所在位置:首页>>蜜桃视频APP下载资讯>>蜜桃视频在线观看视频百科

欧式蜜桃视频APP下载机小车的设计计算实例

本文链接:http://www.766cs.com/gsxw/516.html   发布时间:2021-03-05 02:07:38  点击量:1686

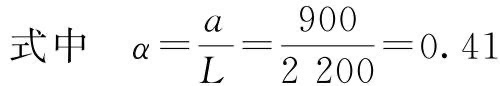
  设计某小欧式蜜桃视频APP下载机小车,其设计参数为:额定蜜桃视频APP下载量Q=32t;工作级别A5;起升高度H=17m;蜜桃视频APP下载机跨度S=22500mm;起升速度V起=0.32~3.2m/min;小车运行速度V小=2~20m/min。

  (1)32t欧式蜜桃视频APP下载机小车横梁设计计算

  根据定滑轮在小车横梁里的结构布置,设计截面尺寸

  Q=320000N;a=900mm;I1=I4=3.96×108mm4;I2=I3=7.32×108mm4;t1=16mm;t2=12mm;t3=20mm;S1=S4=1.26×106mm3;S2=S3=1.73×106mm3;y2=y3=329mm;d=100mm;E=2.1×105N/mm2;L=2200mm

  强度符合要求。

  根据小车横梁的结构设计截面尺寸(图3-56),验算刚度。


  刚度符合要求。

  (2)32t欧式蜜桃视频APP下载机小车端梁计算(图3-57)

  Q=320000N;Gx=20000N;a=180mm;b=980mm;c=417mm;I1=2.1×107mm4;I2=2.1×108mm4;I3=332029916mm4;I5=209242013mm4;I6=9069917mm4;y2=174mm;y3=222mm;y5=174mm;S1=188016mm3;S2=826640mm3;S3=1244864mm3;S5=826640mm3;S6=109856mm3


  小车端梁计算符合要求。

  (3)小车运行机构设计计算

  以下为小车“三合一”减速器选型计算。

  ①小车摩擦阻力计算

  ②小车坡道阻力的计算

  坡度角αsinα=0.001

  坡道阻力Fp=(Q+G小)×sinα=(3.2×105+4.0×104)×0.001=360N

  ③小车运行静阻力的计算

  Fj=Fm+Fp=4968+360=5328N

  ④小车运行静功率计算

  PN=kd·Pj=1.03×0.95=0.98kW

  ⑤小车运行静阻力矩的计算

  MP1=Fj×R=5328×0.125=666N·m

  式中 R——小车车轮的半径,R=D/2m。

  小车满载直线运行产生的惯性力矩:加速度取0.05。

  MH=MP1+Mg1=666+344=1010N·m

  小车为对边驱动型式,使用两个减速器驱动,1个齿轮箱应承载MH/2=505N·m。

  Na=V/3.14×D=25.5

  ⑥减速器选型

  推荐选取国内恒星科技品牌“三合一”F系列减速器:功率1.1kW;fb=2.0;i=55.42;na=25;Ma=410N·m。

  Ma×fb=410×2.0=820N·m>MH/2=505N·m

  所选减速器符合要求。

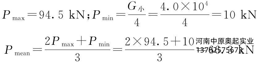
  ⑦小车*大轮压计算

  小车*大轮压是R1和R6的大值,R6=94.5kN>R1=93.5kN。所以,Pmax=R6=94.5kN为小车的*大轮压(主动轮压),R1=93.5kN为被动轮压,R1/R6=93.5/94.5=0.99,被动轮、主轮压比非常理想,被动轮压接近主动轮压但小于主动轮压,在实践中一般不会出现持久打滑现象。

  ⑧小车车轮设计计算

  小车轨道选方钢40mm×40mm,初选实心ф250mm直径车轮,车轮有效接触宽度l=40-6=34mm;

  车轮材料选DG42CrMo取σb=1080N/mm2,许用轮压比k=8.5。

  允许轮压:PL=kDlC=8.5×250×34×1.03×1=74.4kN

  疲劳强度校核:Pmean=66.3kN≤PL=74.4kN,满足要求。

  静强度校核:94.5kN=Pmax≤1.9kDl=1.9×8.5×250×35=141.3kN,满足要求。

  (4)起升机构的设计计算

  ①钢丝绳的选型计算

  所需钢丝绳*小破断拉力:S0=S×n=44.2×4.5=198.9kN

  选择某国外钢丝绳,查样本型号为:15-8×WS(26)+IWRC-1960

  样本上钢丝绳*小破断拉力为202.7kN,所选钢丝绳符合要求。

  ②起升电机的选型计算

  起升机构总传动效率:η=η1×η2×η3=0.95×0.96×0.95=0.87

  选某**品牌“三合一”变频起升电机,型号DFV200L6B(S1);n=970r/min;P=18.5kW。

  电机实际额定功率Pe=1.3P=1.3×18.5=24.05kW>Pj=20.6kW,所选电机符合要求。

  ③起升减速器的选型计算

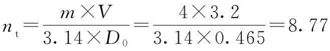
  初步取卷筒名义直径尺寸:D=450mm

  钢丝绳公称直径:d=15mm

  卷筒计算直径:D0=d+D=15+450=465mm

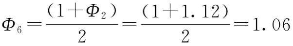
  起升动载系数:Φ2=1.12

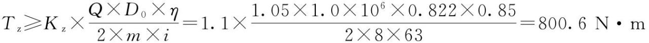
  减速器低速端所承受的扭矩:

  T=Φ2×S×D0=1.12×4.42×104×0.465=23.02kN·m

  卷筒转速:

  减速器速比:

  确定齿轮箱的额定功率:P1N≥Pj·f1·f2=20.6×1.1×1=22.7kW

  *大启动扭矩:TA=1.8×Mn=1.8×176.7=318.1N·m(查电机样本得Mn)

  峰值扭矩校核:P1N=22.7kW≥TA·n1·f3/9550=318.1×970×0.7/9550=22.62kW

  选某**品牌减速器:(额定功率25.7kW)i=112输出扭矩25.7kN·m。

  综上述计算结果可知,减速器的选择符合规范要求。

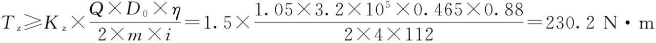
  ④制动器的选型计算

  起升“三合一”电机带制动单元,给厂家提额定供制动力矩230.2N·m。

  ⑤卷筒联轴器的选型计算

  查工作级别系数K2=1.4(表3-6)

  卷筒支承轴承的效率ηT=0.98

  卷筒钢丝绳总拉力:∑S=(Q+Q0)/m×η=(1.05×3.2×105)/4×0.98=85.7kN

  联接处所受实际转矩:

  联接处的计算转矩:TK=T×K2×Φ6=20.3×1.4×1.06=30.1kN·m

  联接处实际承受的径向载荷:

  选某国内品牌DC联轴器:DC03**,Tmax=45kN·m,Fmax=50kN

  Fr=43.1kN≤Fmax+(Tmax-TK)×K1=50+(45-30.1)×3.7=105.13kN

  符合设计要求

  ⑥卷筒设计计算(卷筒光杆Lg长度部分计算)

  在设计小车时得以下数据:b=20mm;c1=46mm;δ=148mm;H3=565mm;Dd=314mm;Dg=314mm;Dw=400mm;Hf=305mm

  Hf符合要求,钢丝绳在小车横梁底部不会发生干涉。

  Dw-Dd-d≥Lg≥Dw-Dd-d-2H0·tan3.5°

  400-314-15≥Lg≥400-314-15-2×840×tan3.5°

  即71≥Lg≥-37mm,负值说明,只要Lg小于71就可以。

  取Lg=50mm

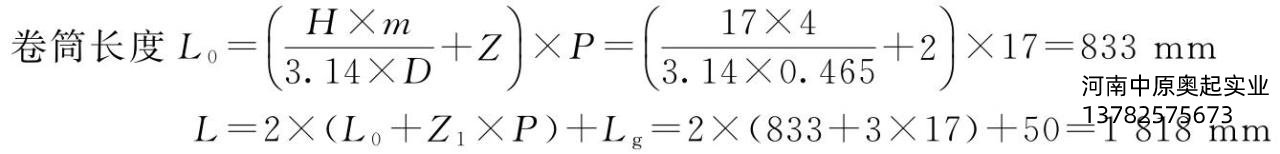
  主卷筒选择P=17mm,起升高度H=17m

  取卷筒长1900mm。小车轨距按2400mm设计。

  ⑦钢丝绳长度计算

  a.钢丝绳从卷筒绕出点到吊钩组*外缘动滑轮水平线上绳槽的绕入点的空间距离S1

  b.钢丝绳在吊钩组动滑轮上的缠绕长度S2

  S2=π(Dd+d)·m/2=3.14×(314+15)×4/2=2066mm

  c.钢丝绳在小车横梁上定滑轮的缠绕长度S3

  S3=π(Dg+d)·(m-2)/2=3.14×(314+15)×(4-2)/2=1033mm

  d.钢丝绳在小车横梁上楔形套筒固定轴式超载限制器的总长度S4

  S4≈3(Dg+d)/2=3(314+15)/2=494mm

  e.钢丝绳在卷筒上的固定和**圈数展开总长度S5

  S5=10π(D+d)=10×3.14×(450+15)=14601mm

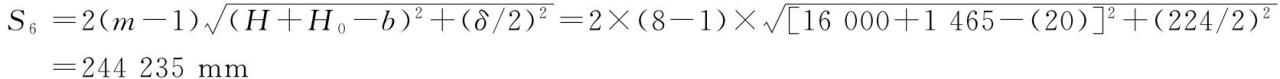
  f.钢丝绳从动滑轮到小车横梁里的定滑轮总长度S6

  g.钢丝绳总长度

  S=S1+S2+S3+S4+S5+S6

  =35805+2066+1033+494+14601+106921

  =160920mm=160.92m

  加1~2m余量,一分为二,每根钢丝绳长度为82m。

  设计某中欧式蜜桃视频APP下载机小车,其设计参数为:*大额定蜜桃视频APP下载量Q=100t;小车自重G1x=17t;工作级别A6;起升高度16m;起升速度V起=0.56~5.6m/min;小车运行速度V小=3~30m/min。

  (1)100t低静空蜜桃视频APP下载机小车横梁计算(图3-58)

  根据起升机构的设计,布置定滑轮组的结构,得以下尺寸参数。

  Q=1.0×106N;a=1250mm;I1=I4=1.1×109mm4;I2=I3=4.3×109mm4;S1=S4=2.8×106mm3;y2=y3=556mm;S2=S3=6.2×106mm3;t1=20mm;t2=20mm;t3=20mm;L=3600mm;m=8;主材采用Q235-B材料。




 

  强度符合要求。

  根据小车横梁的结构设计截面尺寸(图3-58),验算刚度。

  (2)100t大欧式低静空蜜桃视频APP下载机小车端梁计算(图3-59)

  根据小车机构布置,得以下小车端梁尺寸参数。

 Q=1.0×106N;Gx=85000N;a=1400mm;b=3300mm;c=800mm;t1=t2=t3=24mm;t=330mm;h1=250mm;h=570mm;I1=I6=1.6×108mm4;I2=1.4×109mm4;I3=1.3×109mm4;I5=2.4×109mm4;y2=367mm;y3=260mm;y5=319mm;S1=S6=8.1×105mm3;S2=3.2×106mm3;S3=3.5×106mm3;S5=4.7×106mm3;主材采用Q345-B材料。

  小车端梁计算符合要求。

  (3)小车运行机构设计计算(小车“三合一”减速器选型计算)

  ①小车摩擦阻力计算

  ②小车坡道阻力的计算

  坡度角αsinα=0.001

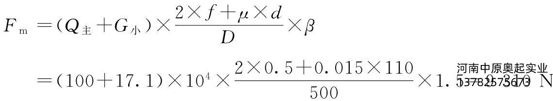
  坡道阻力Fp=(Q主+G小)×sinα=(1000000+171000)×0.001=1171N

  ③小车运行静阻力的计算

  Fj=Fm+Fp=9310+1171=10481N

  ④小车运行静功率计算

  PN=kd·Pj=1.2×2.79=3.4kW(kd为经验系数)

  ⑤小车运行静阻力矩的计算

  MP1=Fj×R=10481×0.25=2620N·m

  式中 R——小车车轮的半径(m),R=D/2。

  小车满载直线运行产生的惯性力矩:加速度取0.05。

  MH=MP1+Mg1=2620+2240=4860N·m

  小车为对边驱动型式,使用两个减速器驱动,1个齿轮箱应承载MH/2=2430N·m。

  Na=V/3.14×D=19.1

  ⑥减速器选型

  推荐选取国内恒星科技品牌“三合一”F系列减速器:功率4kW;fb=1.56;i=73.53;na=19;Ma=1950N·m。

  Ma×fb=1950×1.56=3042N·m>MH/2=2430N·m;所选减速器符合要求。

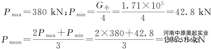
  ⑦小车*大轮压计算

  小车*大轮压是R1和R6的大值,R6=380kN>R1=230kN,所以,Pmax=R6=380kN为小车的*大轮压(主动轮压),R1=230kN为被动轮压,R1/R6=230/380=0.61,被动轮、主动轮压比较理想,被动轮压比较接近主动轮压但小于主动轮压,在实践中一般不会出现持久打滑现象。

  ⑧小车车轮设计计算

  小车轨道选方钢80mm×80mm,初选实心ф500mm直径车轮,车轮有效接触宽度l=80-10=70mm;

  车轮材料选DG42CrMo,取σb=1080N/mm2,许用轮压比k=8.5

  允许轮压PL=kDlC=8.5×500×70×1.06×0.9=284kN

  疲劳强度校核:Pmean=267.8kN≤PL=284kN,满足要求。

  静强度校核:380kN=Pmax≤1.9kDl=1.9×8.5×500×70=565kN,满足要求。

  (4)起升机构的设计计算

  ①钢丝绳的选型计算

  所需钢丝绳*小破断拉力:S0=S×n=70.6×5.6=395.4kN

  选择某**品牌钢丝绳,查样本型号为:22-8×WS(26)+WSC-1960。

  样本上钢丝绳*小破断拉力为433.7kN,所选钢丝绳符合要求。

  ②起升电机的选型计算

  起升机构总传动效率η=0.85。

  选某国内品牌变频电机:YZP315M-6;110kW(S340%);985r/min;所选电机符合要求。

  ③起升减速器的选型计算

  初步取卷筒名义直径尺寸:D=800mm

  钢丝绳公称直径:d=22mm

  卷筒计算直径:D0=d+D=22+800=822mm

  起升动载系数:Φ2=1.12

  减速器低速端所承受的扭矩为:

  T=Φ2×S×D0=1.12×7.06×104×0.822=65kN·m

  卷筒转速:


 

  减速器速比:

  确定齿轮箱的额定功率:P1N≥Pj·f1·f2·SF=102.9×1.1×1×1.25=141.5kW

  *大启动扭矩:TA=1.8×Mn=1.8×1050.5=1890.9N·m(查电机样本得Mn)

  选某国内品牌减速器:(额定功率146kW)i=63,减速器许可的短暂扭矩88kN·m。综上述计算结果可知,减速器的选择符合规范要求。

  ④制动器的选型计算

  起升选用双盘式制动器,YP1-500-Ed50/6-1000制动力矩1000N·m,符合设计要求。

  ⑤卷筒联轴器的选型计算

  查工作级别系数K2=1.6(表3-6)

  卷筒支承轴承的效率,ηT=0.98。

  卷筒钢丝绳总拉力∑S=(Q+Q0)/m×η=(1.05×1.0×106)/8×0.98=133.9kN

  联接处所受实际转矩?

  联接处的计算转矩

  TK=T×K2×Φ6=56.2×1.6×1.06=95.3kN·m

  联接处实际承受的径向载荷?

  选某国内品牌联轴器WJ10,Tmax=100kN·m,Fmax=120kN,符合设计要求

  ⑥卷筒设计计算

  以下为卷筒光杆Lg长度部分计算。

  在设计小车时得以下数据:b=20mm;c1=60mm;δ=224mm;H3=1345mm;Dd=600mm;Dg=600mm;Dw=860mm;Hf=600mm。
 

  取Hmin=2810mm



 

  H0=Hmin-H3=2810-1345=1465mm

  Hf符合要求,钢丝绳在小车横梁底部不会发生干涉。

  Dw-Dd-d≥Lg≥Dw-Dd-d-2H0·tan3.5°

  860-600-22≥Lg≥860-600-22-2×1465×tan3.5°

  即238≥Lg≥59mm,取:Lg=80mm

  主卷筒选择:P=25mm,起升高度16m



 

  取卷筒长2900mm。小车轨距按3500mm设计。

  ⑦钢丝绳长度的计算

  根据前面卷筒光杆部分计算,得H0=1465mm。

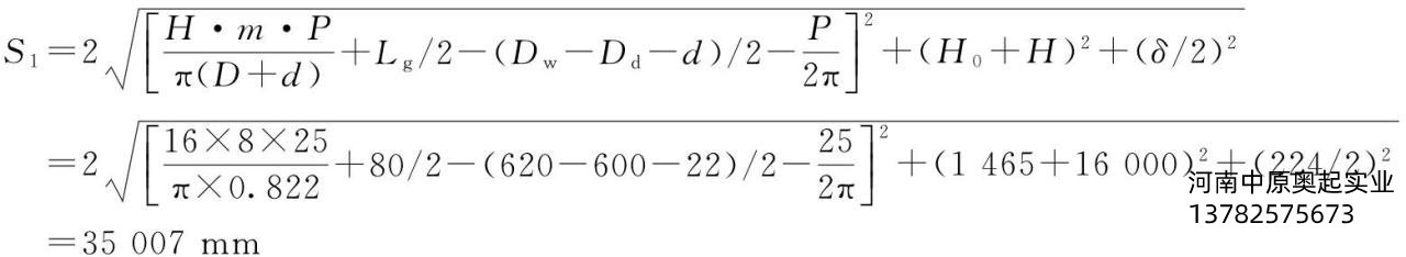
  a.钢丝绳从卷筒绕出点到吊钩组*外缘动滑轮水平线上绳槽的绕入点的空间距离S1



 

  b.钢丝绳在吊钩组动滑轮上的缠绕长度S2

  S2=π(Dd+d)·m/2=π×(600+22)×8/2=7816mm

  c.钢丝绳在小车横梁上定滑轮的缠绕长度S3

  S3=π(Dg+d)·(m-2)/2=π×(600+22)×(8-2)/2=5862mm

  d.钢丝绳在小车横梁上楔形套筒固定轴式超载限制器的总长度S4

  S4≈3(Dg+d)/2=3(600+22)/2=933mm

  e.钢丝绳在卷筒上的固定和**圈数展开总长度S5

  S5=10π(D+d)=10×π×(800+22)=25824mm

  f.钢丝绳从动滑轮到小车横梁里的定滑轮总长度S6



 

  g.钢丝绳总长度S



 

  加1~2m余量,一分为二,每根钢丝绳长度为161m。

文章聚合页面:

联系蜜桃APP污

CONTACT US

联系人:徐经理

手机:13782575673

电话:0373-8611375

邮箱:hnzyaqqz@126.com

官网:www.766cs.com

地址:河南长垣蜜桃视频APP下载工业园区华豫大道中段

网站地图